Infinite binary strings
We call the binary alphabet. is the set of infinite binary strings with .
We can identify each of these strings with a number in the unit interval in the following way:
This maps each infinite binary string to the real number with binary expansion .
We can draw a similarity between infinite binary trees and the task of finding the binary expansion of a number:
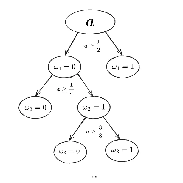
The tree corresponding to finding one of the binary expansions of would look as follows:

... at the end means that we infinitely expand the tree further down.
In the picture we just show one possible path to obtain
Note that this picture already hints at the fact that the binary expansion is not injective. We can read off two possible binary expansions of :
The function is is surjective because for every number in the interval we can apply the above algorithm to find an infinite binary expansion that will match it.
The real numbers have geometrical representation of a straight line.
We can similarly visualise using the cylinder sets.
Here , i.e. a finite binary string.
We can than visualise as the interval , for example will correspond to the whole unit interval, to the interval , to the interval , to the interval etc.
We call a prefix of if we have for .
Let's prove that iff is a prefix of .
: We have for arbitrary that . That implies that for each we can find such that . We have because if we would have elements in that are not in . We can than compare the substrings and . They need to be equal and from here it follows that is a prefix of y.
: We have that but than we can write and hence every element of is in .
This concludes the proof and can be geometrically interpreted as the fact that iff is a prefix of than is a subinterval of .